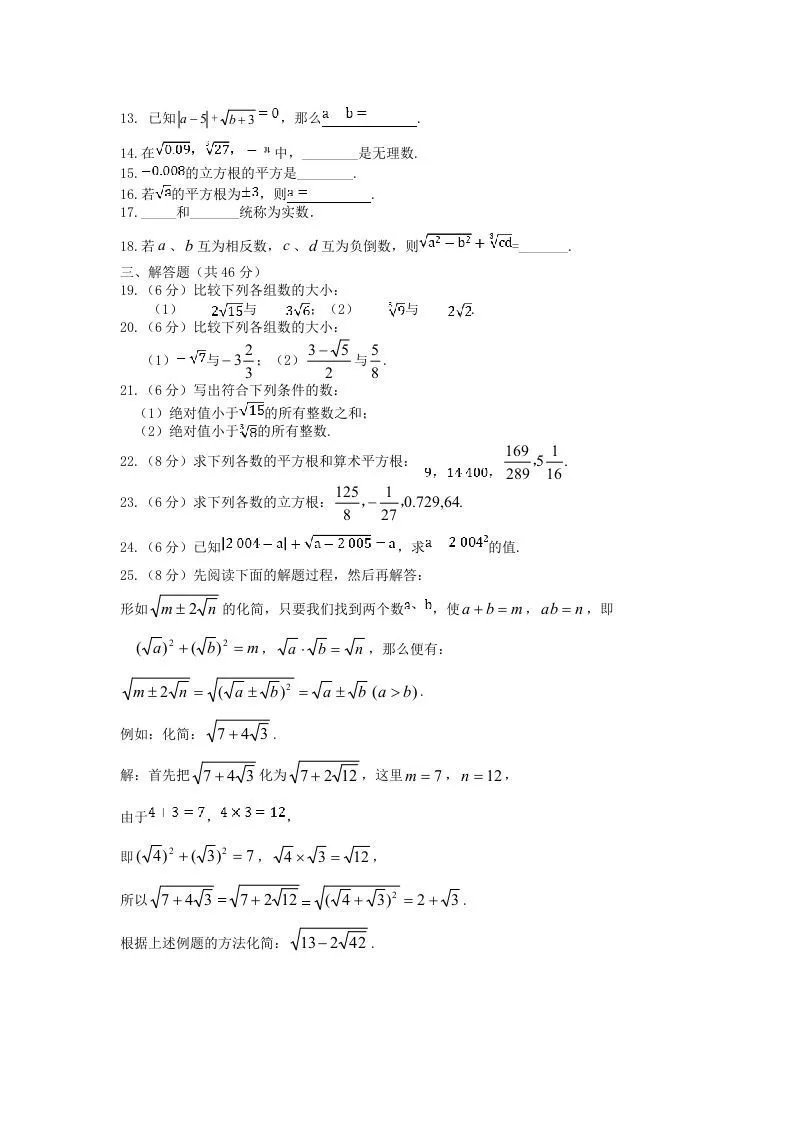
七年级下册数学第六章试卷及答案人教版(Word版)



七年级下册数学第六章试卷及答案人教版(Word版)
七年级下册数学第六章试卷及答案人教版(Word版)
七年级下册数学第六章试卷及答案人教版(Word版)

——预览已结束,还剩22页未读——
您已获得此文档下载权限,请点击底部下载完整文档


七年级下册数学第六章试卷及答案人教版(Word版)-学海库
七年级下册数学第六章试卷及答案人教版(Word版)
此内容为免费资源,请登录后查看
0
免费资源
© 版权声明
THE END
喜欢就支持一下吧
点赞7 分享
评论 抢沙发

请登录后发表评论

    暂无评论内容